
Gems of Mineralogical Wisdom
Every Friday, we explore a little bit of geological trivia. Actiually, it’s not trivial. Some topics are directly related to the mineralogy class. Others give us a bit of historical perspective on the origins of our science. Still others are things that geologists just need to know.
Aug 22. Abundance of the Elements
The most abundant element in the silicate Earth is oxygen. In fact, it’s not much of an exaggeration to say that the Earth is a closest-packed array of O atoms. The other atoms squeeze in the spaces between them.
The tables give some determinations of the cosmic abundance of elements (Table 2-1), determined largely by spectroscopic studies of the Sun. Table 2-2 gives a simple Earth model based on those cosmic abundances. Table 2-3 shows some estimates of the composition of the continental crust. Those require knowing the relative abundance of the various rock types that make up the crust.
Aug 29. Linus Pauling
Linus Pauling
Linus Carl Pauling (February 28, 1901 – August 19, 1994) was an American quantum chemist and biochemist. He was also acknowledged as a crystallographer, molecular biologist, and medical researcher. Pauling is regarded as one of the premier chemists of the twentieth century. He pioneered the application of quantum mechanics to chemistry, and in 1954 was awarded the Nobel Prize in chemistry for his work describing the nature of chemical bonds. He also made important contributions to crystal and protein structure determination, and was one of the founders of molecular biology. He came near to discovering the "double helix," the ultrastructure of DNA, which Watson, Crick, and Franklin discovered in 1953. Pauling is noted as a versatile scholar for his expertise in inorganic chemistry, organic chemistry, metallurgy, immunology, anesthesiology, psychology, debate, radioactive decay, and the aftermath of nuclear warfare, in addition to quantum mechanics and molecular biology.
Pauling received the Nobel Peace Prize in 1962 for his campaign against above-ground nuclear testing, and is the only person to win two Nobel prizes that were not shared with another recipient. The other people who have received two Nobel prizes are Marie Curie (physics and chemistry), John Bardeen (both in physics) and Frederick Sanger (both in chemistry). Later in life, he became an advocate for greatly increased consumption of vitamin C and other nutrients. He generalized his ideas to define orthomolecular medicine, which is still regarded as unorthodox by conventional medicine. He popularized his concepts, analyses, research and insights in several successful but controversial books centered around vitamin C and orthomolecular medicine.
Pauling's rules
Paulingite (Ca, K2, Na2, Ba)5(Al10Si35O90)·45H2O. Vinařice, Czech Republic Photo by Matteo Chinellato (mindat.org)
Pauling's rules are five rules developed by Linus Pauling for determining the ionic structures of complex crystals.
1. A coordinated polyhedron of anions is formed about each cation, the cation-anion distance determined by the sum of ionic radii and the coordination number (C.N.) by the radius ratio.
2. An ionic structure will be stable to the extent that the sum of the strengths of the electrostatic bonds that reach an anion equal the charge on that anion.
3. The sharing of edges and particularly faces by two anion polyhedra decreases the stability of an ionic structure.
4. In a crystal containing different cations, those of high valency and small coordination number tend not to share polyhedron elements with one another.
5. The number of essentially different kinds of constituents in a crystal tends to be small.
Sep 7. PREM and the pressure gradient in the Earth
PREM In the 1960s and 1970s, Don Anderson (Caltech) and his collaborators investigated the relations between the behavior of mantle rock at high pressure and temperature, phase transformations of minerals in the mantle, and the generation of earthquakes. They contributed significantly to the understanding of tectonic plate motions by exploring convection currents in the Earth's mantle with seismological methods. These studies have led to the development of the Preliminary Reference Earth Model (PREM), in collaboration with Adam Dziewonski. PREM establishes a consistent radial model of the Earth for several important geophysical parameters, such as seismic velocities, attenuation, and density.
The seismic velocities from the PREM are related to the density inside the Earth. For example. the p-wave velocity is given by
where K and µ are elastic properties of the rock and ρ is the density. From those, the pressure gradient can be determined, because the pressure is related to density by
p = ρgh
A good rule of thumb is that a one-kilometer increase in depth results in a 30 MPa increase in pressure, or a 100 MPa increase in pressure results from an increase of 3 km in depth.
Definitions
Pressure is force per area. The SI unit of pressure is the pascal. 1 Pa = 1 N/m2. The unit of force is the newton; 1 N = 1 kg·m/s2.
Sep 13. Thermal Gradient
Fourier’s law of heat conduction. The basic relation for conductive heat transport is Fourier’s law, which states that the heat flux q, or the flow of heat per unit area per unit time, at a point in a medium is directly proportional to the temperature gradient at the point. In one dimension, Fourier’s law takes the form
![]()
where K is the coefficient of thermal conductivity and z is the spatial coordinate. The minus sign appears because heat flows in the direction of decreasing temperature.
The temperature gradient in the continental crust is much higher than in the mantle because radioactive elements are more concentrated in the crust. The result is a gradient of ~25 K/km near the surface, steepening with depth.
The geotherm is not constant but depends on heat-producing elements, conductivity, and convection. A sketch for the entire Earth by P. Wyllie is shown below.
Sep 27. Foundation of Chemical Thermodynamics
"Mathematics is a language." (reportedly spoken by Gibbs at a Yale faculty meeting)
"A mathematician may say anything he pleases, but a physicist must be at least partially sane."
On May 4, 2005, the United States Postal Service issued the American Scientists commemorative postage stamp series, depicting Gibbs, John von Neumann, Barbara McClintock and Richard Feynman.
Josiah Willard Gibbs (1839–1903) was one of the very first American theoretical physicists and chemists. The greatest American scientist of the nineteenth century, without a close second. He devised much of the theoretical foundation for chemical thermodynamics. He spent his entire career at Yale, which awarded him the first American Ph.D. in engineering. The J. Willard Gibbs Professorship in Theoretical Chemistry at Yale was created in his honor. Gibbs invented physical chemistry; he invented vector analysis; he also invented, with some European colleagues (Maxwell and Boltzman), statistical mechanics. Not too shabby! He died before he could be considered for the first Nobel Prize.
Some results from Gibbs’s work in chemical thermodynamics
Gibbs Energy
G = U + pV – TS
http://en.wikipedia.org/wiki/Gibbs_free_energy
Chemical potential
![]()
Gibbs Phase Rule
F = C – P + 2
The degrees of freedom is the difference between the number of components and the number of phases in a system + 2 for T and p.
Gibbs–Helmholz Equation
![]()
Gibbs–Duhem Equation
![]()
Oct 4. James Clerk Maxwell

James Clerk Maxwell (1831–1879) was a Scottish mathematician and theoretical physicist from Edinburgh, Scotland. His most significant achievement was aggregating a set of equations in electricity, magnetism and inductance—eponymously named Maxwell's equations—including an important modification (extension) of the Ampère's Law. It was the most unified model of electromagnetism yet. It is famous for introducing to the physics community a detailed model of light as an electromagnetic phenomena, building upon the earlier hypothesis advanced by Faraday (Faraday Effect).
He also developed the Maxwell distribution, a statistical means to describe aspects of the kinetic theory of gases. These two discoveries helped usher in the era of modern physics, laying the foundation for future work in such fields as special relativity and quantum mechanics. He is also known for creating the first true color photograph in 1861.
Maxwell demonstrated that electric and magnetic fields travel through space, in the form of waves, and at the constant speed of light. Finally, in 1861 Maxwell wrote a four-part publication in the Philosophical Magazine called On Physical Lines of Force where he first proposed that light was in fact undulations in the same medium that is the cause of electric and magnetic phenomena.
Maxwell is considered by many physicists to be the scientist of the nineteenth century most influential on twentieth century physics. His contributions to physics are considered by many to be of the same magnitude as those of Isaac Newton and Albert Einstein.
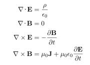
Maxwell’s Equations
In electromagnetism, Maxwell's equations are a set of four equations that were first presented as a distinct group in 1884 by Oliver Heaviside in conjunction with Willard Gibbs. These equations had appeared throughout Maxwell's 1861 paper entitled On Physical Lines of Force.
They describe the interrelationship between electric fields, magnetic fields, electric charge, and electric current, and although Maxwell himself was the originator of only one of these equations (by virtue of modifying an already existing equation), he derived them all again independently in conjunction with his molecular vortex model of Faraday's lines of force.
Maxwell introduced an extra term to Ampère's circuital law which is the time derivative of electric field and known as Maxwell's displacement current. This modification is the most significant aspect of Maxwell's work in electromagnetism.
In Maxwell's 1865 paper, A Dynamical Theory of the Electromagnetic Field Maxwell's modified version of Ampère's circuital law enabled him to derive the electromagnetic wave equation, hence demonstrating that light is an electromagnetic wave.
Oct 11. Founders of Quantum Mechanics
Blackbody Radiation
Max Karl Ernst Ludwig Planck (1858–1947) is considered to be the founder of quantum theory, and therefore one of the most important physicists of the twentieth century. He was hired by an electric company to help invent an efficient lightbulb. In this task, he tried to figure out the relation between the intensity of light as a function of its wavelength from a hot, glowing filament. This is called the blackbody radiation problem. Current ideas about radiation from a hot body didn’t fit observations, especially at short wavelengths. He decided simply to find a mathematical expression that fit the observed intensity curve. Once he had a satisfactory fit, he was led to the conclusion that energy of the light was directly proportional to its frequency.
E = hν
This became known as a unit or a quantum of energy. Planck’s postulate was employed by another physicist to explain the development of current when light illuminated metals, the photoelectric effect.
The photoelectric effect
Albert Einstein (1879–1955). Einstein had a pretty good year in 1905. One of the papers he published that year was a simple explanation of the photoelectric effect. Einstein argued that the kinetic energy of photoelectrons was simple equal to the photon energy, as proposed by Planck, less the amount necessary to free the electrons from their valence band.
Thus was born the theory of quantum mechanics. Einstein’s work on the photoelectric effect was cited when he was awarded the Nobel Prize in physics.
In 1905, Albert Einstein also published a paper describing his special theory of relativity. He published another on the equivalence between mass and energy. He also published another paper analyzing Brownian motion and its relation to viscosity and diffusivity. Wow, that was a good year!
Oct 18. X-Ray Pioneers
Wilhelm Conrad Röntgen (1845–1923). Discoverer of x-rays. He was awarded the first Nobel Prize in 1901.

Max von Laue (1879–1960). He demonstrated that x-rays were electromagnetic radiation with wavelengths comparable to the distance between atoms in crystals.

Sir William Henry Bragg (1862–1942) and Sir William Lawrence Bragg (1890–1971). Father and son. Showed how x-ray diffraction from crystals can be used to determine the structure of crystals.
